1. Was bedeutet Vorticity?
1. Was bedeutet Vorticity?
Vorticity kommt von lateinisch vortex für Wirbel und beschreibt die Wirbelgröße einer Strömung. Hoch- und Tiefdruckgebiete besitzen Vorticity, entweder gegen oder im Uhrzeigersinn. Folglich spielt die Vorticity eine tragende Rolle bei Geburt und Zerfall von Druckgebieten, das reicht vom kleinräumigen Leetief über ein ausgewachsenenes Orkantief in den mittleren Breiten bis hin zum Hurrikan über der Karibik.
2. Welche Formen von Vorticity gibt es?
Die Vorticity ist als Kreuzprodukt des Nablaoperators ∇ mit dem Geschwindigkeitsvektor v definiert:
∇ x v
und lässt sich entsprechend in die horizontalen Komponenten u (in x-Richtung), v (in y-Richtung) und in die Vertikalkomponente w (in z-Richtung) zerlegen. Sogenannte Rotoren, also Luftwirbel mit horizontaler Achse, besitzen horizontale Vorticity, sie treten bei Gebirgsüberströmung auf. Auch durch eine Windzunahme mit der Höhe kann horizontale Vorticity generiert werden, die – durch einen Aufwind in die Vertikale gekippt – in einem Gewitter Tornadobildung hervorrufen kann.
Wir betrachten in diesem Artikel immer die vertikale Vorticity, d.h. eine Drehbewegung um eine vertikale Achse, da wir uns in großräumigen, synoptischen Größenordnungen bewegen.
Mit den folgenden Vorticityarten werden wir uns gleich näher befassen:
- Absolute Vorticity: Sie setzt sich aus relativer und planetarer Vorticity zusammen
- Relative Vorticity: Sie setzt sich aus Scherungs- und Krümmungsvorticity zusammen
- Potentielle Vorticity: Sie ist auf isentropen Flächen konstant und liefert einen Zusammenhang zwischen absoluter Vorticity und statischer Stabilität.
Exkurs: Advektion
Die Advektion (lat. advehi = heranführen) ist mit dem Transport einer Eigenschaft verbunden, z.B. Luftmassen, Temperatur (Wärme und Kälte), Vorticity, Feuchte, etc. Sie lässt sich mathematisch durch ein Skalarprodukt ausdrücken (das taucht später in der ω-Gleichung wieder auf):
v.∇T oder v.∇ζ
Aus dem Skalarprodukt des Windes und dem Gradienten der Eigenschaft, hier Temperatur und Vorticity, folgt, dass die Advektion verschwindet, wenn beide Faktoren (der Gradient ist ein Vektor!) senkrecht aufeinanderstehen und dass die Advektion maximal ist, wenn beide Faktoren parallel zueinanderstehen:

Abbildung 1 zeigt Geopotential und Temperatur auf der 850 hPa Druckfläche (1200-1500m hoch). Der Wind weht weitgehend parallel zu den Isohypsen. Je enger der Isolinienabstand, desto stärker der Wind und desto eher nähert er sich dem geostrophischen Gleichgewicht (weht also exakt parallel zu den Isohypsen).
Im roten und blauen Bereich herrscht jeweils Warmluft- und Kaltluftadvektion, hier steht der Wind nahezu normal auf dem horizontalen Temperaturgradienten. Dazwischen im schwarz gekennzeichneten Bereich ändert sich die Temperatur entlang der Strömung hingegen nicht, die Advektion verschwindet: Warmsektor. Dasselbe gilt für den Bereich hinter der Kaltfront, auch hier ändert sich die Temperatur parallel zu den Isohypsen nicht. Anders ausgedrückt: Weht der Wind parallel zu den Isothermen, verschwindet die Advektion, weil die räumliche Temperaturänderung gleich Null ist!
Die Advektion liefert den Antrieb für Vertikalbewegung, nicht die Absolutwerte. In manchen Modellkarten ist beispielsweise die relative Vorticity dargestellt, dann befindet sich das Hebungsgebiet nicht dort, wo die relative Vorticity groß ist, sondern stromabwärts davon, wo die Vorticityadvektion groß ist.
2.1 Relative Vorticity
Die relative Vorticity bezieht sich auf die Wirbelgröße relativ zur Erddrehung. Ein Beobachter im System Erde (kein Inertialsystem) nimmt die Erdrotation nicht wahr, sondern nur die Eigenbewegung des Luftpakets.
ζz = ∂v/∂x – ∂u/∂y
Die relative Vorticity ζ wird dabei in Scherung (Bewegung in x-Richtung) und Krümmung (Bewegung in y-Richtung) aufgeteilt.
Scherungs- und Krümmungsvorticity können sich gegenseitig verstärken, aber auch aufheben. In den Karten der Relativen Vorticity(advektion) kann man lediglich qualitativ noch bestimmen, welcher Anteil für die resultierende relative Vorticity verantwortlich ist.
2.1.1 Scherungsvorticity
Eine gescherte Strömung setzt sich aus unterschiedlichen Strömungsrichtungen und -geschwindigkeiten zusammen. Im Falle eines geradlinigen Starkwindbandes in der Höhe (Jetstream) entfällt die Richtungsänderung. Wenn man den Jet jedoch von Norden nach Süden durchquert, dann nimmt die Geschwindigkeit bis auf ein Maximum (Jetachse) zu , um danach wieder abzunehmen. Diese Geschwindigkeitsscherung hat folgende Eigenschaft:

Je dicker und länger der Pfeil,desto höher die Geschwindigkeit. Bringt man nun einen Stab quer zur Strömungsrichtung hinein, dann wird er an seinem Südende von einer stärkeren Strömung als am Nordende beeinflusst. Physikalisch ausgedrückt ist das Drehmoment am Südende stärker als am Nordende und der Stab bekommt folglich einen Drehsinn gegen den Uhrzeigersinn, gleichbedeutend mit einer zyklonalen Rotation. Folglich nennt man sie zyklonale oder positive Scherungsvorticity. Analog dazu die antizyklonale oder negative Scherungsvorticity.
Fallbeispiel für eine Tiefdruckentwicklung durch starke Scherungsvorticity: Orkan Klaus am 23.1.2009

Der Tiefdruckkern liegt genau im Übergangsbereich des linken Jetauszugs zwischen sehr hohen Windgeschwindigkeiten (über 120kt) und geringeren Windgeschwindigkeiten (unter 80kt). Er befindet sich gleichzeitig auch im rechten Jeteinzug des Jets vor den Britischen Inseln. Das bedeutet kräftigen Hebungsantrieb von beiden Jets durch starke Höhendivergenz (angedeutet durch das große Plus-Zeichen). Das Tief verstärkte sich in der Folge zum Orkan über der Biskaya und richtete in Südfrankreich Schäden an.
Insbesondere schnellziehende Orkantiefs sind zu einem Löwenanteil auf starke Scherungsvorticity zurückzuführen, da sie mit einem heftigen Jetstream verbunden sind.
2.1.2 Krümmungsvorticity
Tritt bei einer Strömung eine Richtungsänderung auf, so ist Krümmung vorhanden. Es wird hierbei wie bei der Scherung zwischen zyklonaler (positiver) und antizyklonaler (negativer) Krümmungsvorticity unterschieden.

Abb.4 zeigt einen Trog, der entlang der Trogachse die stärkste Krümmung(svorticity) aufweist. Die stärkste Krümmungsvorticityadvektion würde sich demnach stromabwärts, also an der Trogvorderseite (= Hebung) befinden, wo man im Reifestadium auch das Bodentief erwartet. Im Keil ist es umgekehrt – die stärkste antizyklonale Krümmung verläuft entlang der Keilachse und die stärkste antizyklonale Vorticityadvektion befindet sich an der Keilvorderseite(= Absinken).
Fallbeispiel für eine Tiefdruckentwicklung durch (mehrheitlichen Anteil an) Krümmungsvorticity, Orkan Carolin am 26.10.2004

Abb.5 illustriert die Bedeutung der Krümmungsvorticity anhand eines Fallbeispiels vom 26. Oktober 2004. Die synoptisch-skalige Strömung verläuft über dem Atlantik meridional, mit einem weit nach Süden vorstoßenden Höhentrog. Die Höhenwinde sind nicht besonders groß, dafür besitzt der Trog erhöhte Werte zyklonaler Krümmungsvorticity. An der Trogvorderseite liegt ein kräftiges Bodentief (das spätere Orkantief „Carolin“, siehe unten).
Während klassische Sturm- und Orkantiefs meist bei geradlinigem Jet und viel Scherungsvorticity entstehen, sind tropischen Tiefs scherungsärmer (sonst würden sie sich rascher auflösen), aber dafür energiereicher. Der Druckfall wird dadurch beschleunigt und die Krümmung des Troges in der Höhe nimmt stark zu. Infolgedessen okkludieren allgemein Tiefs bei viel Krümmungsvorticity schneller und verlagern sich langsamer.
Denn: bei starker, geradliniger Strömung vermag die Kaltfront die Warmfront nicht so rasch einzuholen (beide haben im Bereich des Jets eine ähnliche Geschwindigkeit) wie bei einer schwächeren, gekrümmten Strömung, wo die Kaltfront schließlich auf die abgebremste Warmfront aufläuft.
Fazit:
Bei hoher relativer Vorticity addieren sich zyklonale Krümmungs- und Scherungsvorticityadvektion. Das Produkt wird positive Vorticityadvektion (PVA) genannt, im englischen Sprachgebrauch findet man cyclonic vorticity advection (CVA) häufiger, da sie beide Hemisphären gültig ist und strenggenommen sollte auch noch ein differentiell davor stehen, um anzudeuten, dass nur die Zunahme der PVA mit der Höhe Hebung verursachen kann (siehe ω-Gleichung). Analog für negative Vorticityadvektion (NVA), AVA, DAVA.
Anschaulich gesprochen wird bei PVA höhere Vorticity in ein Gebiet mit niedrigerer Vorticity transportiert, daher das positive Vorzeichen. Im Bereich des PVA-Maxiums, oft abgekürzt als Vorticitymaximum (Vortmax), das eigentlich Vorticityadvektionsmaximum heißen müsste, herrscht die größte Hebung und der stärkste bodennahe Druckfall vor, doch nur dann, wenn man die Rolle der Temperaturadvektion vernachlässigt.
2.2 Erdvorticity
Bisher haben wir nur die Eigenbewegungen von Strömungen und resultierender Wirbelhaftigkeit betrachtet. Jetzt berücksichtigen wir den Fakt, dass die Erde sich ebenfalls dreht und sich dessen Winkelgeschwindigkeit zur Eigenbewegung addiert. Die Erdvorticity (engl. planetary vorticity) wird daher durch den sogenannten Coriolisparameter fausgedrückt:
f = 2 · Ω · sin(φ)
Der Coriolisparameter ist vom Breitengrad φ abhängig und demzufolge am Pol ( φ = 90°) am Größten und am Äquator ( φ = 0°) am Kleinsten. Die größte Erdvorticity herrscht demzufolge am Pol mit f = 2 · Ω. Bedenke, dass die Corioliskraft von der Geschwindigkeit v abhängt. Sie wirkt also nur dann, wenn eine Strömung vorherrscht und kann als Scheinkraft keine Strömung induzieren, sondern nur deren Richtung (bzw. die des Windes) verändern.
| Dies wird durch den Inertialkreis beschreiben, dessen Radius R = V /f ist. Umgeformt ergibt sich der Coriolisparameter f aus der Strömungsgeschwindigkeit V geteilt durch den Radius. Setzt man für f = 2 Ω , so erkennt man die Formel aus der Mechanik: ω = v /r . Was in der Mechanik die Winkelgeschwindigkeit, ist in der Atmosphäre also die Vorticity, mit der Einschränkung, dass ein rotierendes Luftteilchen um ein Tiefdruckgebiet infolge der Bodenreibung keine perfekte Kreisbahn beschreibt. Mit Hilfe des Inertialkreises, der bei schwachem Corioliseffekt (Rechtsablenkung eines Luftpakets, das vom Äquator zum Pol advehiert wird) groß ist, lässt sich der Beta-Effekt erklären. |
Wichtig für die Erdvorticity ist dessen Maximum am Pol und Minimum am Äquator. Eine äquatorwärts gerichtete Luftströmung advehiert daher Positive Erdvorticity in ein Gebiet niedrigerer Vorticity (vgl. Kapitel 2.1.1 und 2.1.2). Umgekehrt advehiert eine polwärts gerichtete Luftströmung Negative Erdvorticity in ein Gebiet höherer Vorticity. Daraus resultiert prinzipiell eine Verstärkung von Tiefdruckgebieten, welche mit dem Polarfrontjet vom Polarkreis südwärts ziehen und eine Abschwächung jener, die nordwärts ziehen.
Die entscheidende Frage ist nun: wieviel steuert die Erdvorticityadvektion zur absoluten Vorticity bei? Ist sie vernachlässigbar klein gegenüber der relativen Vorticity?
Zur Beantwortung führt man eine Skalenanalyse der Vorticitygleichung durch:
| Unter der Annahme eines Horizontalwinds von 10 m/s und horizontale Länge von 1000 km beträgt die relative Vorticity etwa 10-5Hz.Der Coriolisparameter f ist 2*Ω*sin(φ) Ω = Winkelgeschwindigkeit der Erde = 2Pi/86400 1/s φ = geographische Breite Damit hat f bei 90° Breite die Größenordnung 1,5* 10-4 Hz, ist also über eine ganze Zehnerpotenz größer als die relative Vorticity. Geht man auf 45° Breite, so ist die Größenordnung immer noch 10-4 Hz, auf 30° 7*10-5 Hz.Ableitung df/dφ ergibt 2*Ω*cos(φ), d.h. die Änderung von f mit variierender Breite ist am Äquator maximal, am Pol minimal, also genau andersherum wie der Betrag von f, aber von derselben Größenordnung! Die breitenabhängige Größenordnung ist jetzt umgedreht, sodass die stärkste Änderung und damit auch Advektion in Äquatornähe erfolgt, nur sind die absoluten Werte dort zu klein für die Ausbildung von Tiefdruckwirbeln. Die kleinste Änderung findet in Polnähe statt, dafür sind dort die Werte sehr groß. Auf 45° Breite sind beide Werte gleich groß bei fast exakt 10-4 Hz.In der Vorticitygleichung kommen beide Ausdrücke vor, f und dessen Ableitung: d/dx(fu) und d/dy(fv) (partielle Ableitungen) da f nur mit y variiert, bleiben übrig: f du/dx, f dv/dy und v df/dy, letzteres wird gerne linear genähert und dann als Beta-Ebene in die Gleichungen eingebaut.Die totale Änderung der relativen Vorticity wird mit T = 100000s (synoptische Skala gut ein Tag) genähert, also ergibt sich dann für dζ/ dt eine Größenordnung von nur noch 10-10 Hz. Die Terme f du/dx, f dv/dy und v df/dy haben jeweils die Größenordnung 10-9 Hz. Die Divergenz- und Twistingterme der Gleichung liegen alle bei 10-10 Hz, der Solenoidterm kann abhängig von den baroklinen Bedingungen auch bei 10-9 Hz liegen, wie die Terme mit f. |
Zusammenfassung:
Die Änderung des Coriolisparameters pol- und äquatorwärts entspricht von der Größenordnung her den anderen Termen in der Vorticitygleichung und kann deswegen nicht vernachlässigt werden.[5]
In den Höhenwetterkarten ist meist die relative oder absolute Vorticity geplottet, jedoch nie (selten) die planetare Vorticity, da aufgrund der zonalen Grundströmung die Änderungen des Coriolisparameters meist vernachlässigt werden können.
2.3 Absolute und potentielle Vorticity
Die absolute Vorticity setzt sich aus relativer und planetarer Vorticity zusammen
:ζa = ζr + f
Die Advektion absoluter Vorticity beschreibt daher die resultierende Vorticityadvektion von relativer und planetarer Vorticity. Diese kann netto größer sein, wenn die relative Strömung südwärts gerichtet ist und sich positive Erdvorticity hinzuaddiert. Analog kleiner bei einer nordwärts gerichteten Strömung. Für die Betrachtung der Zirkulation arbeitet man aber gerne mit einer konservativen Größe, die in der Strömung erhalten bleibt. Daher hat man die potentielle Vorticity kreiert, welche durch folgende Gleichung ausgedrückt werden kann:
ζp = ζa / Δz
Die potentielle Vorticity (engl. potential vorticity, abgekürzt PV) setzt sich aus absoluter Vorticity pro Höhendifferenz (z.b.) zweier Isentropenflächen zusammen und ist in Abwesenheit von turbulenter Durchmischung und (latenter, strahlungsbedingter) Erwärmung konstant. Schreibt man die Gleichung anders:
ζp · Δz = ζa
und nimmt die potentielle Vorticity als konstant an, dann bedeutet eine Zunahme der Höhendifferenz auch eine Zunahme an absoluter Vorticity. Bei geringen Breitengradänderungen kann man die Erdvorticity ebenfalls als konstant annehmen , sodass real eine Zunahme relativer Vorticity erfolgt. Um diese doch recht zähe Theorie zu veranschaulichen kann man die Isentrope potentielle Vorticity (IPV) verwenden. Wenn man Orte gleicher potentieller Temperatur durch Linien miteinander verbindet, erhält man Isentropen. Entlang der Isentropen ist die vertikale Temperaturänderung konstant und beträgt 1K/100m (z.B. in einer Föhnschicht).

Im Fall A erfährt die Luftsäule eine Streckung, entsprechend nimmt Δz zu. Aufgrund der Erhaltung potentieller Vorticity muss die absolute Vorticity zunehmen (und damit auch die relative Vorticity). In der Mechanik geschieht dies durch die Verringerung des Radius und der Erhöhung der Winkelgeschwindigkeit (angedeutet durch die beiden Pfeile). Infolge der Streckung herrscht oben eine (isentrope) Divergenz und unten eine Konvergenz. Dies ist der klassische Fall einer Leetiefentwicklung(Alpen, Rocky Mountains).
Im Fall B erfährt die Luftsäule eine Stauchung, da die Isentropenflächen näher zueinanderrücken. Δz und relative Vorticity nehmen ab. In der Mechanik analog eine Vergrößerung des Radius und eine Abnahme der Winkelgeschwindigkeit. Infolge der Stauchung herrscht oben eine (isentrope) Konvergenz und unten eine Divergenz, was wiederum der klassische Fall eines Luvhochs im Luv eines (größeren) Gebirges ist.
Mit der Erhaltung potentieller Vorticity lässt sich auch das Verhalten von Rossby-Wellen im Lee eines größeren Gebirges (Felsengebirge, Ural) erklären:

Abb.7 zeigt eine Wellenbewegung auf der Nordhemisphäre der mittleren Breiten (φ = 30-60°). Der Abstand zweier Wellenberge wird durch die Wellenlänge λ ausgedrückt, die Erstreckung in y‘-Richtung als Wellenamplitude 2A. Ab λ = 6000km spricht man von einer Langwelle (Rossbywelle).
Am Ausgangspunkt (1) befindet man sich auf einem zonal gerichteten Jetstream, der weder Krümmung noch Scherung aufweist und daher keine relative Vorticity besitzt. Wird die Strömung nun durch ein größeres Gebirge nach Norden abgelenkt (2), dann nimmt die Erdvorticity wegen der polwärts gerichteten Bewegung zu. Um die potentielle Vorticity konstant zu halten, muss die relative Vorticity aber abnehmen , entsprechend bildet sich eine antizyklonale Krümmung aus (3). Dadurch wird eine Südwärtsbewegung erzwungen, sodass es wieder die Ausgangsbreite erreicht (4). Wegen der Trägheit wird die Strömung aber noch weiter südwärts abgelenkt. Infolge der Abnahme der Erdvorticity Richtung Äquator muss die relative Vorticity wieder zunehmen und bildet eine zyklonale Krümmung aus (5). Die Strömung wird erneut nach Norden abgelenkt und überquert durch die erneute Trägheit die Ausgangsbreite (6).
Wellenlänge und Wellenzahl korrelieren folglich, d.h. dass sich mit zunehmender Wellenzahl die Wellenlänge verkürzt. Meist bewegt sich die Zahl der Rossby-Wellen auf der Nordhemisphäre zwischen drei und fünf. Je höher die Wellenzahl, desto rascher bewegen sich die Rossby-Wellen nach Osten, da ihre Phasengeschwindigkeit aufgrund der Wellenlängenverkürzung zunimmt. Bei niedriger Wellenzahl (< 3) können die (langen) Wellen stationär sein oder gar retrograd wandern. Dies ist bei den sogenannten Blockinglagen der Fall.
2.4 Isentrope Potentielle Vorticity und Dry Intrusion
Das IPV-Thinking wurde von HOSKINS und MCINTIRE 1985 entwickelt und stellt eine alternative Anschauung zur quasi-geostrophischen Theorie (s.u.) dar. Vor allem moderne Synoptiker verwenden das IPV-Prinzip gerne, um Zyklogenese zu erforschen und vorherzusagen.
Kurz zum Grundprinzip der IPV – die potentielle Vorticity ist isentrop, bewegt sich also auf Flächen konstanter potentieller Temperatur (und gilt somit nur bei trockenadiabatischen Verhältnissen). Die Gleichung lässt sich dann formulieren als:ζIPV = (ζr + f)/ρ · (∂Θ /∂z) = const.
Der Coriolisparameter kann zur Vereinfachung entlang eines Breitenkreises konstant gesetzt werden. Dann hängt die IPV nur noch von der relativen Vorticity ζ, der Luftdichte ρ und der statischen Stabilität (∂θ/∂z) ab.
Statische Stabilität:
Im Gegensatz zur Strömungsstabilität, die nur die Scherung berücksichtigt, betrachtet man bei der statischen Stabilität nur den Auftrieb unter Vernachlässigung der Umgebungsströmung (daher statisch).
Die IPV erhöht sich bei einer Abnahme der Luftdichte und Zunahme der potentiellen Temperatur (im Bereich der Tropopause). Auf der Trogrückseite bzw. Keilvorderseite strömt trockene Luft herab, wobei negative Schichtdickenadvektion und differentielle negative Vorticityadvektion ein Absinken bewirken. Gemäß des Ertel’schen Wirbelsatzes bleibt die IPV erhalten. Auf der Trogvorderseite gerät die trockene Luft unter Hebungsantrieb und die damit verbundene Kondensation erniedrigt durch die Freisetzung latenter Wärme die statische Stabilität. Entsprechend muss die relative Vorticity zunehmen. Sie wird durch die Dry Intrusion in den Kernbereich des Bodentiefs advehiert und addiert sich somit zur ohnehin vorhandenen PVA. Der zusätzliche Hebungsantrieb verschärft die Höhendivergenz und den bodennahen Druckfall.
Dieser Umstand trifft vor allem bei explosiven Tiefdruckentwicklungen (rapid cyclogenesis) zu, wobei der Kerndruck innerhalb 24 Std. mindestens um 24 hPa zurückgeht. Im Reifestadium erstrecken sich trockene, im Wasserdampfbild schwarze Streifen/Zungen bis zum Tiefdruckkern und überrennen diesen zum Höhepunkt der Tiefentwicklung. Im Englischen wird dabei zwischen dem Prozess der Dry Intrusion und dem sichtbaren Produkt Dryslot unterschieden.
Ein anschauliches Beispiel hierfür lieferte Orkantief „Carolin“ am 26. Oktober 2004:

Das IPV-Thinking ist jedoch nur eingeschränkt anwendbar, da im Bereich von Kondensationsprozessen keine isentropen Verhältnisse mehr gegeben sind.
Die Einheit der IPV wird in PVU (Potential Vorticity Unit) angegeben, ausgeschrieben [K m² kg-1 s-1]. Mit Umformungen erhält man die Einheit J K/ kg -1s-1 oder J/kg * K/h
Die IPV-Einheit verdeutlicht also die zeitliche Änderung der (potentiellen) Energie und Temperatur.
3. Quasigestrophische Vorticityperspektive
Die Quasi-gestrophische Vorticityperspektive , kurz QG, liefert eine weitere Betrachtungsweise zur Zyklogenese und Antizyklogenese unter Verwendung der ageostrophischen Zirkulationen. Sie ist am Gebräuchlichsten und unterscheidet sich vom Resultat her nicht vom IPV-Thinking. Das QG-Modell basiert auf der Annahme eines quasi-geostrophischen Jetstreams. Dieser ist „quasi“ geradlinig aufgebaut und weist auf seiner Achse bzw. im Kern Vorticityfreiheit auf. In der Realität finden wir jedoch oft gekrümmte Jetstreams, sodass das folgende, einfache Modell nicht ausnahmslos anwendbar ist:

Auf der (kalten) Nordseite des Jets befindet sich an die Trogachse gekoppelt ein Vorticitymaximum (besser : ein Maximum positiver Vorticity), auf der (warmen) Südseite des Jets gekoppelt an die Keilachse ein Vorticityminimum (besser : ein Maximum negativer Vorticity). Schaut man nun stromabwärts nach links, so liegt im linken Jetauszug auf der Trogvorderseite ein Maximum positiver Vorticityadvektion (PVA), das durch positive Scherungs- und Krümmungsvorticity verursacht wird. Entsprechend ist im rechten Jetauszug, der Keilvorderseite ebenfalls ein Maximum negativer Vorticityadvektion (NVA) ersichtlich. Analoges gilt für die Eingangsbereiche des Jets.
In den PVA-Gebieten mit der stärksten Hebung können sich am Boden Tiefdruckgebiete entwickeln, in den NVA-Gebieten Hochdruckgebiete.

Die Vorhersagekarte zeigt eine stark verwellte Höhenströmung mit drei langwelligen Trögen über Neufundland, Island sowie Südosteuropa. Der Polarfrontjet mäandriert daher stark und weist mehrere Maxima (Jetstreaks) auf, darunter eines südöstlich von Island. Südwestlich der Azoren hat sich ein Höhentief mit eigenem Jetstream vom Polarfrontjet abgekoppelt. Über Nordostafrika ist der Subtropenjet als breitflächiges Starkwindband erkennbar.
Der Langwellentrog über Neufundland weist auf seiner Vorderseite einen fast geradlinigen Jetstream auf, dessen Krümmung hier für die QG-Betrachtung vernachlässigbar ist. Im linken Jetauszug im Bereich der stärksten Krümmung auf der Trogvorderseite liegt das zugehörige Bodentief mit Kerndruck von 980hPa (siehe rechts). Weiß gekennzeichnet ist der quasi-abgeschlossene Kern des Höhentroges. Aus der Achsenneigung zwischen Boden- und Höhentief lässt sich auf das Entwicklungsstadium der Zyklogenese schließen. Das Bodentief befindet sich zwar schon recht nahe am Höhentief, aber noch unter kräftigem PVA-Einfluss. Die schiefe Achsenneigung weist daher auf Advektion von Vorticity und Temperatur hin – das Tief ist im Reifestadium seiner Entwicklung angelangt.
Dem gegenübergestellt sei der Langwellentrog über dem Nordatlantik mit Kern nordöstlich von Island. Das zugehörige Bodentief liegt abseits des umgebenden Jetstreams fast direkt unter dem Höhentief. Die Achsenneigung weist daher eine Senkrechte auf und die Advektion von Vorticity bzw. Temperatur verschwindet völlig. Somit ist dieses Orkantief bereits am Höhepunkt seiner Entwicklung angelangt und füllt sich in weiterer Folge allmählich auf.
Ein Bodentief , das sich hingegen mit der Nähe zur Jetachse bewegt, vertieft sich wegen der Vorticityfreiheit nicht. Es kann aber recht hohe Zuggeschwindigkeiten erreichen und über kurze Zeit große Entfernungen zurücklegen (über 1000km in 24h). Ein derartiges Tief wird daher Schnellläufer genannt. Es muss nicht zwingend kräftigen Druckfall aufweisen, kann aber dennoch heftige Winde bei der Tiefpassage verursachen. Dies ist auf die isallobarische Druckänderung zurückführbar, also der zeitlichen Druckänderung. Sind hohe Verlagerungsgeschwindigkeit und starker Druckfall kombiniert, können die Winde in Bodennähe Orkanstärke erreichen.
Beispiel für eine Kombination aus Schnellläufer und explosiver Zyklogenese: Orkantief „Lothar“ am 26.12.1999



Abb.11 zeigt die Großwetterlage am 26.12.1999 um 0 UTC mit einem ausgedehnten Tiefdruckkomplex über dem Nordatlantik mit extrem niedrigen Geopotential und generell hohen Windgeschwindigkeiten in allen Höhenschichten. Die Frontalzone (schwarze durchgezogene Linie = 552 gpdm) verläuft vom Seegebiet südlich von Neufundland über Frankreich bis zum Balkan zonal und wird erst über dem Schwarzen Meer durch einen schwachen Langwellentrog ausgelenkt. Entsprechend herrschen auf dem zonalen Grundstrom über dem Atlantik zwischen dem tiefen Geopotential bei Island und dem Azorenhoch enorme Windgeschwindigkeiten in der Höhe.
Im Bereich des Jetstreams haben sich drei Tiefdruckgebiete in verschiedenen Entwicklungsstadien entwickelt. Westlich von Brest befindet sich „Lothar“ mit einem Kerndruck von 985hPa und einem noch nicht okkludiertem Frontensystem. Dahinter folgt als kaum erkennbare Störung „Lothar Successor“ nach , von der ZAMG später als eigenständiges Tief analysiert und über Deutschland als „Hessen-Sturm“ bekannt, welches nochmals Orkanböen hervorbrachte. Südlich von Neufundland liegt die Welle „Martin“ direkt auf der Jetachse, während Lothar und Lothar Successor auf der kalten Seite des Jets im Bereich hoher positiver Scherungsvorticity und horizontaler Temperaturgegensätze liegen.
Orkan Lothar weist einige, bis heute nicht mehr übertroffene Rekordereignisse auf. So gab es z.B. an der französischen Kanalküste an der Station Caen einen dreistündigen Druckfall von 27,7hPa und anschließendem Druckanstieg von 29,0hPa. Dazu gab es Böen bis 172km/h. Auf dem Feldberg wurden 212km/h Spitzenböen gemessen, ehe der Windmesser den Geist aufgab. Somit waren durchaus noch höhere Windgeschwindigkeiten möglich. In Karlsruhe (Oberrhein) erreichte der Orkan 151km/h, aber auch im restlichen Süddeutschland wurden verbreitet 120-150km/h Spitzenböen gemessen. Es entstanden verbreitet große Wald- und Sachschäden und leider gab es auch Todesopfer zu beklagen. Zwischen 0 und 6 UTC vertiefte sich die Zyklone von 985hPa auf 961hPa (24hPa in 6h) , wo sie ihren Höhepunkt über der Seine (Frankreich) erreichte. Im Pariser Raum wurde eine Spitzenböe von 172km/h gemessen, als extremster Wert gelten bis heute die 259km/h auf dem Wendelstein.
(mehr zu LOTHAR in meiner Fallstudie)
Die Ursache der Hebung bzw. des bodennahen Druckfalls sind weder die obere Divergenz noch die Vorticityadvektion. Höhendivergenz und Bodenkonvergenz basieren auf der Massenerhaltung und sind direkt und unmittelbar gekoppelt. Die Ursache für die Vertikalbewegung ist hingegen in der dritten Impulsgleichung zu suchen:
dw/dt = – 1/ρ ∂p/∂z – g + Km ∇²w
Die totale zeitliche Änderung der Vertikalgeschwindigkeit w ist von der Druck- und Dichteänderung, der Erdbeschleunigung sowie der Reibung bzw. turbulentem Austausch abhängig. Weder die Vorticity noch die Divergenz kommen in der dritten Impulsgleichung vor!
4. Die Omegagleichung
Die Omegagleichung ist neben der Navier-Stokes-Gleichung und der allgemeinen Vorticitygleichung eine der wichtigsten Gleichungen bei der Betrachtung atmosphärischer Bewegungen auf der Erde. Sie gibt Auskunft über das Vorzeichen der Vertikalgeschwindigkeit, benannt nach dem griechischen Buchstaben ω.
Die Herleitung erfolgt über die Zusammensetzung folgender Gleichungen:
- Geostrophischer Wind in x,y-Richtung
- Kontinuitätsgleichung in geostrophischen Koordinaten ohne Vertikalbewegung (divergenzfrei)
- Geostrophische Vorticity
- Hydrostasie
- 1. Hauptsatz der Thermodynamik
Durch das Einführen einer Stromfunktion Ψ wird die Rechnung wesentlich vereinfacht. Im Anschluss leitet man die erste und zweite Impulsgleichung nach z ab und den ersten Hauptsatz nach x und y. Mit weiteren Rechenoperationen gelangt man zu einer Form, die nur noch den ageostrophischen Vertikalwind wagenthält. Nicht berücksichtigt in dieser Gleichung ist jedoch die Reibung.
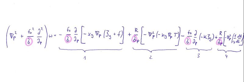
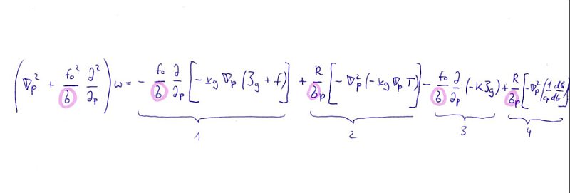
Eine weitere Herleitung, nachzulesen bzw. -zurechnen im Bluestein, Vol.I., liefert die vollständige Omegagleichung, die da lautet:

Der Nablaoperator ∇p bezieht sich auf Druckkoordinaten, fo ist der Coriolisparameter, welcher konstant gehalten wird (f-Ebene), σ ist die statische Stabilität, die mit α/θ ∂θ/∂p definiert ist, dabei ist α der Kehrwert der Dichte (der Term ähnelt im Aussehen der Brunt-Väisälä-Frequenz, welche ebenfalls ein Stabilitätsparameter ist).
Weiters tauchen der geostrophische Wind vg, die geostrophische Vorticity ζg und der turbulente Austauschkoeffizient K auf, im letzten Term sind noch die spezifische Wärmekapazität bei konstantem Druck cp und die Heizungsrate dQ/dt vertreten.
Die Bedeutung der einzelnen Terme:
- differentielle Vorticityadvektion – aufgrund der partiellen Differentation nach dem Druck, gleichbedeutend mit einer Betrachtung mit zunehmender Höhe, spricht man von differentieller Vorticityadvektion. Erst mit zunehmender Vorticityadvektion mit der Höhe tritt Aufsteigen oder Absinken auf.
- Temperaturadvektion – der horizontale Temperaturgradient wird mit dem stärksten Wind (geostrophischer Wind) advehiert. Bei positiver Temperaturadvektion wird Warmluft advehiert, die zu Hebung führt, analog Kaltluftadvektion zu Absinken
- differentielle Reibung – die Reibung, ausgedrückt durch den Austauschkoeffizienten K nimmt gewöhnlich mit zunehmender Höhe ab, da die Rauhigkeit/Reibung in Bodennähe am Größten ist. Dies resultiert in der Bildung zyklonaler Vorticity am Oberrand der Grenzschicht, das zum sogenannten Ekman Pumping führt und entsprechend mit Aufsteigen verbunden ist.
- Diabatische Heizung – die diabatische Heizung/Abkühlung durch Ein- oder Ausstrahlung trägt ebenfalls zu auf/absteigender Vertikalbewegung bei
Damit ist die Betrachtung der Omegagleichung aber noch nicht zu Ende, denn die Vorfaktoren dürfen nicht vergessen werden. Sowohl Reibung als auch differentielle Vorticityadvektion besitzen dieselben Vorfaktoren, ebenso Temperaturadvektion und diabatische Heizung. Was bedeutet das? Alle vier Antriebsterme weisen den Vorfaktor 1/σ auf, d.h. die Stärke des Antriebs ist umgekehrt proportional zur statischen Stabilität: Je niedriger die statische Stabilität, umso intensiver sind die Auswirkungen der einzelnen Antriebsterme. Dies spielt insbesondere im Kontext des Klimawandels eine immer wichtigere Rolle! Die steigenden Meeresoberflächentemperaturen führen nämlich zu einer Herabsetzung der statischen Stabilität, was Tiefdruckentwicklungen intensivieren kann, insbesondere jene mit tropischem oder subtropischen Charakter.
Während Reibung und differentielle Vorticityadvektion an das partielle Differential des Drucks gekoppelt sind, sind Temperaturadvektion und diabatischer Erwärmung umgekehrt proprtional zum Luftdruck. Diese Antriebsterme sind also in der Höhe (bei niedrigem Druck) effizienter als in tieferen Schichten (bei höherem Druck).
Da der Wind mit der Höhe gewöhnlich zunimmt, wird das Attribut differentiell bei Vorticityadvektion meist weggelassen.
Die (absolute) Temperaturadvektion kann entweder Warmluftadvektion (WLA) oder Kaltluftadvektion (KLA) bedeuten. Da Warmluft eine geringere Dichte als Kaltluft besitzt, verringert sich bei Warmluftadvektion die Dichte einer Luftmasse. Die wärmere Luft steigt auf und die Luftsäule wird gestreckt bzw. die Luftmasse gehoben.
Ein weiterer Begriff ist die Positive Schichtdickenadvektion, die man als differentielle Temperaturadvektion bezeichnen kann, d.h. bei einer Temperaturerhöhung vergrößert sich die Schichtdicke zwischen zwei Druckflächen (meist 500 und 1000hPa, siehe Relative Topographie) und führt zu einer Labilisierung der Luftmasse. Umgekehrt bedeutet Kaltluftadvektion negative Schichtdickenadvektion mit einer Stauchung der Luftsäule und Stabilisierung der Luftmasse (Absinken).
Der Effekt der Hebung und des Absinkens wird auch durch die Krümmung der Temperaturadvektion beeinflusst, d.h. eine stärkere Krümmung der WLA erzeugt mehr Hebung als eine schwächere Krümmung. Außerdem ist WLA besonders effektiv, wenn zuvor eine sehr kalte Luftmasse bodennah eingeflossen ist, vgl. hierzu Wetterkarten zum Augusthochwasser 2002 oder in Österreich vom 05-7. September 2007.
Ergebnis:
Unter Vernachlässigung von Reibungseffekten und diabatischer Erwärmung, die vorwiegend bei Kältehochs/Hitzetiefs sowie bei kleinskaligen Phänomen eine Rolle spielt, kann das Vorzeichen der Vertikalbewegung aus der Summe von Vorticity- und Temperaturadvektion bestimmt werden. Beide Terme können sich gegenseitig verstärken oder kompensieren. Dadurch lassen sich vereinfacht vier Fälle unterscheiden:
- DPVA und WLA:Warm conveyor belt-Zyklogenese mit feuchtwarmen Förderband und intensiven Niederschlägen auf der Trogvorderseite, typisch für Hybridtiefs oder Umwandlung tropischer Zyklone in extratropische Zyklonen.
- DPVA und KLA:Cold conveyor belt-Zyklogenese deutlich kaltseitig des Jetstreams, auch rückseitig einer Kaltfront im Trogsektor. Dominiert die KLA bilden sich höchstens flache Quellwolken bzw. die Subsidenz überwiegt, dominiert die DPVA, so entwickeln sich Schauer und Gewitter in der labil geschichteten Kaltluftmasse.
- DNVA und WLA:Absinken auf der Keilvorderseite, aber herumgeholte Warmluft, z.B. mit einer Warmfront aus Nordwesten. Typisch für ausgedehnte Hochnebelfelder im Winter mit Sprühregen oder Schneegrieseln.
- DNVA und KLA:Stromaufwärts der Trogachse mit anschließendem Kurzwellenkeil Stabilisierung und Absinken mit Wolkenauflösung.
Im Winter bringt WLA in kalte Gebiete eher Stabilisierung durch Aufgleitvorgänge, im Sommer bringt KLA in warme Gebiete eher Labilisierung durch konvektive Umlagerungen. Nicht berücksichtigt wurde hier die diabatische Wärmezufuhr. So kann das Absinken hinter einer Kaltfront durch nächtliche Ausstrahlung verstärkt werden und das Aufsteigen bei Warmluftadvektion durch Sonneneinstrahlung verstärkt werden. Jedoch verliert die Warmfront ihren Frontcharakter am Tage, wenn diabatische Erwärmung in der Grenzschicht die Luftmassengegensätze abschwächt.
